SOLUTION: x + 2y = 5 x - 3y = 7 What is the value of the system determinant?
Algebra
->
Matrices-and-determiminant
-> SOLUTION: x + 2y = 5 x - 3y = 7 What is the value of the system determinant?
Log On
Algebra: Matrices, determinant, Cramer rule
Section
Solvers
Solvers
Lessons
Lessons
Answers archive
Answers
Click here to see ALL problems on Matrices-and-determiminant
Question 873726
:
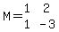
x + 2y = 5
x - 3y = 7
What is the value of the system determinant?
Answer by
ewatrrr(24785)
(
Show Source
):
You can
put this solution on YOUR website!
x + 2y = 5
x - 3y = 7
=
= -5