SOLUTION: use grams's rule to solve x and y 3/x - 6/y = 1/6 2/x + 3/y = 1/2

Algebra ->  Matrices-and-determiminant -> SOLUTION: use grams's rule to solve x and y 3/x - 6/y = 1/6 2/x + 3/y = 1/2      Log On


   



Question 863760: use grams's rule to solve x and y
3/x - 6/y = 1/6
2/x + 3/y = 1/2

Answer by Fombitz(32388) About Me  (Show Source):
You can put this solution on YOUR website!
I think you mean Cramer's rule.

A+=%28matrix%282%2C2%2C3%2C-6%2C2%2C3%29%29
Ax=%28matrix%282%2C2%2C1%2F6%2C-6%2C%0D%0A++++++++++++++++++1%2F2%2C3%29%29
Ay=%28matrix%282%2C2%2C3%2C1%2F6%2C%0D%0A++++++++++++++++++2%2C1%2F2%29%29
.
.
abs%28A%29=+21++
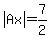
abs%28Ax%29=+7%2F2
abs%28Ay%29=+7%2F6
.
.
1%2Fx=abs%28Ax%29%2Fabs%28A%29=+1%2F6
x=6
.
.
1%2Fy=abs%28Ay%29%2Fabs%28A%29=+1%2F18
y=18