SOLUTION: solve the matrix equation. [4 -7]over[1 8]-x=[-9 4]over[-1 5]. answers given are -13 11, -2 -3 13 -3, 2 3 13 -11, 2 3 -5 11, 0 13.

Algebra ->  Matrices-and-determiminant -> SOLUTION: solve the matrix equation. [4 -7]over[1 8]-x=[-9 4]over[-1 5]. answers given are -13 11, -2 -3 13 -3, 2 3 13 -11, 2 3 -5 11, 0 13.       Log On


   



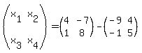
Question 863666: solve the matrix equation. [4 -7]over[1 8]-x=[-9 4]over[-1 5]. answers given are -13 11, -2 -3 13 -3, 2 3 13 -11, 2 3 -5 11, 0 13.

Found 2 solutions by Fombitz, morenike:
Answer by Fombitz(32388) About Me  (Show Source):
Answer by morenike(2) About Me  (Show Source):
You can put this solution on YOUR website!
in solving for subtraction under matrices,you must check for their conformability.ie..they must be square matrix for the solution to be solved.
since this matrix is a 2*2 matrix,it is conformable.
\4 -7 / \-9 4 /
\1 8 / - \-1 5/
=\4-(-9) -7-(4)/
\1-(-1) 8-5 / =
\4+9 -7-4/
\1+1 8-5/
=\13 -11/
\2 3 /