SOLUTION: 7 2 determine whether the matrix has an inverse. If an inverse exists, find it. 0 -3

Algebra ->  Matrices-and-determiminant -> SOLUTION: 7 2 determine whether the matrix has an inverse. If an inverse exists, find it. 0 -3      Log On


   



Question 365778: 7 2 determine whether the matrix has an inverse. If an inverse exists, find it.
0 -3

Answer by jim_thompson5910(35256) About Me  (Show Source):
You can put this solution on YOUR website!
A matrix has an inverse if the determinant is nonzero.


Solved by pluggable solver: Finding the Determinant of a 2x2 Matrix

If you have the general 2x2 matrix:

%28matrix%282%2C2%2Ca%2Cb%2Cc%2Cd%29%29

the determinant is: D=a%2Ad-c%2Ab

So this means that

abs%28matrix%282%2C2%2Ca%2Cb%2Cc%2Cd%29%29=a%2Ad-c%2Ab

Note: the vertical bars denote a determinant.


-----------------------------------------------------------------


So in this case the determinant of %28matrix%282%2C2%2C7%2C2%2C0%2C-3%29%29 is:


abs%28matrix%282%2C2%2C7%2C2%2C0%2C-3%29%29=%287%29%28-3%29-%280%29%282%29=-21-0=-21


======================================================


Answer:

So abs%28matrix%282%2C2%2C7%2C2%2C0%2C-3%29%29=-21 which means that the determinant of the matrix %28matrix%282%2C2%2C7%2C2%2C0%2C-3%29%29 is -21




Since the determinant is nonzero, this means that the inverse exists.


So let's find the inverse...


Solved by pluggable solver: Finding the Inverse of a 2x2 Matrix

To find the inverse of the matrix A=%28matrix%282%2C2%2C7%2C2%2C0%2C-3%29%29, we can follow these steps:

Step 1) Find the determinant



The determinant of %28matrix%282%2C2%2C7%2C2%2C0%2C-3%29%29 is abs%28matrix%282%2C2%2C7%2C2%2C0%2C-3%29%29=-21. So this means that d=-21

Step 2) Swap the values



Now switch the highlighted values %28matrix%282%2C2%2Chighlight%287%29%2C2%2C0%2Chighlight%28-3%29%29%29 to get %28matrix%282%2C2%2Chighlight%28-3%29%2C2%2C0%2Chighlight%287%29%29%29

Step 3) Change the sign



Now change the sign of the highlighted values %28matrix%282%2C2%2C-3%2Chighlight%282%29%2Chighlight%280%29%2C7%29%29 to get %28matrix%282%2C2%2C-3%2Chighlight%28-2%29%2Chighlight%280%29%2C7%29%29

Step 4) Multiply by the inverse of the determinant



Multiply by 1%2Fd to get %281%2Fd%29%28matrix%282%2C2%2C-3%2C-2%2C0%2C7%29%29

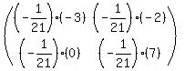
Plug in d=-21 to get %28-1%2F21%29%28matrix%282%2C2%2C-3%2C-2%2C0%2C7%29%29

Step 5) Multiply -1%2F21 by every element in the matrix (simplify and reduce if possible)



Multiply -1%2F21 by EVERY element to get

Multiply to get %28matrix%282%2C2%2C-3%2F-21%2C-2%2F-21%2C0%2F-21%2C7%2F-21%29%29

Reduce each element: %28matrix%282%2C2%2C1%2F7%2C2%2F21%2C0%2C-1%2F3%29%29


=================================================================


Answer:

So the inverse of %28matrix%282%2C2%2C7%2C2%2C0%2C-3%29%29 is %28matrix%282%2C2%2C1%2F7%2C2%2F21%2C0%2C-1%2F3%29%29

This means that if A=%28matrix%282%2C2%2C7%2C2%2C0%2C-3%29%29 then A%5E%28-1%29=%28matrix%282%2C2%2C1%2F7%2C2%2F21%2C0%2C-1%2F3%29%29