|
Question 255688: I need help solving this problem using the Cramer's rule to find the value of "z" that satisfies the system of linear equations.
Here is the link to my question:
http://s699.photobucket.com/albums/vv356/flowerpatch_01/?action=view¤t=Picture4-10.png
So far I have D= 4,-5, 1
2, 5, -2
-2, 3, -4
Thanks so much in advance for your help!
Found 2 solutions by jim_thompson5910, Edwin McCravy: Answer by jim_thompson5910(35256) (Show Source):
You can put this solution on YOUR website!
Solved by pluggable solver: Using Cramer's Rule to Solve Systems with 3 variables |

First let . This is the matrix formed by the coefficients of the given system of equations.
Take note that the right hand values of the system are , , and and they are highlighted here:

These values are important as they will be used to replace the columns of the matrix A.
Now let's calculate the the determinant of the matrix A to get . To save space, I'm not showing the calculations for the determinant. However, if you need help with calculating the determinant of the matrix A, check out this solver.
Notation note: denotes the determinant of the matrix A.
---------------------------------------------------------
Now replace the first column of A (that corresponds to the variable 'x') with the values that form the right hand side of the system of equations. We will denote this new matrix (since we're replacing the 'x' column so to speak).

Now compute the determinant of to get . Again, as a space saver, I didn't include the calculations of the determinant. Check out this solver to see how to find this determinant.
To find the first solution, simply divide the determinant of by the determinant of to get: 
So the first solution is 
---------------------------------------------------------
We'll follow the same basic idea to find the other two solutions. Let's reset by letting again (this is the coefficient matrix).
Now replace the second column of A (that corresponds to the variable 'y') with the values that form the right hand side of the system of equations. We will denote this new matrix (since we're replacing the 'y' column in a way).

Now compute the determinant of to get .
To find the second solution, divide the determinant of by the determinant of to get: 
So the second solution is 
---------------------------------------------------------
Let's reset again by letting which is the coefficient matrix.
Replace the third column of A (that corresponds to the variable 'z') with the values that form the right hand side of the system of equations. We will denote this new matrix

Now compute the determinant of to get .
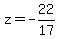
To find the third solution, divide the determinant of by the determinant of to get: 
So the third solution is 
====================================================================================
Final Answer:
So the three solutions are , , and giving the ordered triple (-93/68, -33/34, -22/17)
Note: there is a lot of work that is hidden in finding the determinants. Take a look at this 3x3 Determinant Solver to see how to get each determinant.
|
Answer by Edwin McCravy(20059) (Show Source):
You can put this solution on YOUR website! I need help solving this problem using the Cramer's rule to find the value of "z" that satisfies the system of linear equations.
Here is the link to my question:
http://s699.photobucket.com/albums/vv356/flowerpatch_01/?action=view¤t=Picture4-10.png
So far I have D= 4,-5, 1
2, 5, -2
-2, 3, -4
Thanks so much in advance for your help!
That photobucket site does not come up on my computer, so
I just made up the numbers on the right, colored red.
You can change them to the right numbers:
I'll assume your system of equations was this:
x is the FIRST unknown and so is just like
except that the FIRST column is replaced by the three red numbers,
which I made up:
y is the SECOND unknown and so is just like
except that the SECOND column is replaced by the three red numbers,
which I made up:
z is the THIRD unknown and so is just like
except that the THIRD column is replaced by the three red numbers,
which I made up:
Do you know how to evaluate a 3x3 determinant?
If not, post again asking how to. I will assume
you already know how.
Then the solutions are:
Now substitute your numbers for the red numbers
and evaluate the determinants and you'll have your
solution.
Edwin
|
|
|
| |