SOLUTION: Write the coefficient matrix and the augmented matrix of the given system of linear equations. 3x1+6x2=8 9x1 =4 What is the coefficient​ matrix?

Algebra ->  Matrices-and-determiminant -> SOLUTION: Write the coefficient matrix and the augmented matrix of the given system of linear equations. 3x1+6x2=8 9x1 =4 What is the coefficient​ matrix?       Log On


   



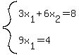
Question 1181810: Write the coefficient matrix and the augmented matrix of the given system of linear equations.
3x1+6x2=8
9x1 =4
What is the coefficient​ matrix?

Answer by Edwin McCravy(20063) About Me  (Show Source):
You can put this solution on YOUR website!
system%283x%5B1%5D%2B6x%5B2%5D=8%2C%0D%0A9x%5B1%5D+=4%29

Add 0x1 to the left side of the second equation:

system%283x%5B1%5D%2B6x%5B2%5D=8%2C%0D%0A9x%5B1%5D%2B0x%5B2%5D+=4%29

Enclose in big parentheses

%28%0D%0A%0D%0Amatrix%282%2C4%2C3%2C6%2C%22%7C%22%2C8%2C%0D%0A9%2C0%2C%22%7C%22%2C4%29%29

To form the augmented matrix, erase the x's and replace the equal
signs by a vertical line:

%28%0D%0A%0D%0Amatrix%282%2C4%2C3%2C6%2C%22%7C%22%2C8%2C%0D%0A9%2C0%2C%22%7C%22%2C4%29%29

That's the augmented matrix.

To form the coefficient matrix, erase the vertical line and the
number after it:

%28%0D%0A%0D%0Amatrix%282%2C2%2C3%2C6%2C%0D%0A9%2C0%29%29

That's the coefficient matrix.

Edwin