SOLUTION: erika jumped off a cliff into the ocean while vacationing with some friends. her height as a function of time could be modeled by the h= -16t^2 + 16t + 96 where “t” is the time

Algebra ->  Matrices-and-determiminant -> SOLUTION: erika jumped off a cliff into the ocean while vacationing with some friends. her height as a function of time could be modeled by the h= -16t^2 + 16t + 96 where “t” is the time      Log On


   



Question 1177994: erika jumped off a cliff into the ocean while vacationing with some friends. her height as a function of time could be modeled by the h= -16t^2 + 16t + 96 where “t” is the time in seconds and “h” is the height in feet. what was the highest point that erika reached?
Found 2 solutions by MathLover1, MathTherapy:
Answer by MathLover1(20850) About Me  (Show Source):
You can put this solution on YOUR website!

h=+-16t%5E2+%2B+16t+%2B+96
the highest point that Erika reached is the vertex, so write equation in vertex form
h=+-16t%5E2+%2B+16t+%2B+96......complete square
h=+%28-16t%5E2+%2B+16t%29+%2B+96......factor out -16
h=+-16%28t%5E2+-+t%29+%2B+96
h=+-16%28t%5E2+-+t%2Bb%5E2%29-%28-16%29b%5E2+%2B+96....coefficient of t is 1, so b=1%2F2

h=+-16%28t%5E2+-+t%2B%281%2F2%29%5E2%29+%2B16%281%2F2%29%5E2+%2B+96
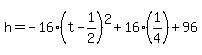
h=+-16%28t+-+1%2F2%29%5E2+%2B16%281%2F4%29+%2B+96
h=+-16%28t+-+1%2F2%29%5E2+%2B4+%2B+96
h=+-16%28t+-+1%2F2%29%5E2+%2B100

=> vertex is at (1%2F2,100)
so, the highest point that Erika reached is 100 feet


Answer by MathTherapy(10555) About Me  (Show Source):
You can put this solution on YOUR website!

erika jumped off a cliff into the ocean while vacationing with some friends. her height as a function of time could be modeled by the h= -16t^2 + 16t + 96 where “t” is the time in seconds and “h” is the height in feet. what was the highest point that erika reached?
The MAXIMUM height is reached when matrix%281%2C4%2C+time%2C+%28t%29%2C+%22=%22%2C+%28-+b%29%2F%282a%29%29 or at 
We now get: