SOLUTION: -5x-3y=-2 -2y+6z=24 4x-7z=2 what is x,y,and z
Algebra
->
Matrices-and-determiminant
-> SOLUTION: -5x-3y=-2 -2y+6z=24 4x-7z=2 what is x,y,and z
Log On
Algebra: Matrices, determinant, Cramer rule
Section
Solvers
Solvers
Lessons
Lessons
Answers archive
Answers
Click here to see ALL problems on Matrices-and-determiminant
Question 1070851
:
-5x-3y=-2
-2y+6z=24
4x-7z=2
what is x,y,and z
Answer by
josgarithmetic(39618)
(
Show Source
):
You can
put this solution on YOUR website!
Not the most efficient way, but using simple matrix row operations, starting with
this matrix can be obtained:
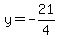
If no mistakes were made, then
and
;
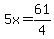
... and then E1=E1-3*E2 would give