SOLUTION: how do you find the intercept form of the parabola?

Algebra ->  Matrices-and-determiminant -> SOLUTION: how do you find the intercept form of the parabola?      Log On


   



Question 1053418: how do you find the intercept form of the parabola?
Answer by josgarithmetic(39630) About Me  (Show Source):
You can put this solution on YOUR website!
"Intercept form"? What are you starting with? Do you have an equation for a parabola in general form and want it in a factored form? If you have y set equal to a factorable quadratic expression, then once factored, you can read the intercepts from the binomial factors.

Only an example:
y=%282%2F3%29x%5E2%2B%2813%2F3%29x%2B2

You could use Completing The Square and put this into Standard Form, from which you can read the vertex; but can you instead, FACTORIZE the general form given?

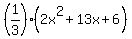
%281%2F3%29%282x%5E2%2B13x%2B6%29

Try some combinations, ....

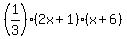
%281%2F3%29%282x%2B1%29%28x%2B6%29-------------factored form, and the zeros would be -1%2F2 and -6.