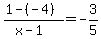
SOLUTION: The slope of the line passing through P(1,4) and Q(x,1) is -3/5. What is the value of x?
Algebra
->
Linear-equations
-> SOLUTION: The slope of the line passing through P(1,4) and Q(x,1) is -3/5. What is the value of x?
Log On
Algebra: Linear Equations, Graphs, Slope
Section
Solvers
Solvers
Lessons
Lessons
Answers archive
Answers
Click here to see ALL problems on Linear-equations
Question 983129
:
The slope of the line passing through P(1,4) and Q(x,1) is -3/5. What is the value of x?
Answer by
josgarithmetic(39633)
(
Show Source
):
You can
put this solution on YOUR website!