SOLUTION: The question: Two fractions have denominators 3 and 4 and their sum is 17/12. If the numerators are switched, the sum is 3/2. Set up a linear system and solve it using eliminati

Algebra ->  Linear-equations -> SOLUTION: The question: Two fractions have denominators 3 and 4 and their sum is 17/12. If the numerators are switched, the sum is 3/2. Set up a linear system and solve it using eliminati      Log On


   



Question 982856: The question:
Two fractions have denominators 3 and 4 and their sum is 17/12. If the numerators are switched, the sum is 3/2. Set up a linear system and solve it using elimination to determine the two numerators.
My comments:
I tried to work out this problem starting by making my two equations to try and solve the problem. I started with x/3 + y/3 = 17/12 and y/3 + x/4 = 3/2. From there I tried to do multiple different things but they all ended with a weird answer. How do I correctly solve this problem?

Found 2 solutions by josgarithmetic, MathTherapy:
Answer by josgarithmetic(39620) About Me  (Show Source):
You can put this solution on YOUR website!
Look for mistakes in your work.

The two equations start like this.
system%28x%2F3%2By%2F4=17%2F12%2Cy%2F3%2Bx%2F4=3%2F2%29

Use your skills with fractions, or rational expressions, to obtain standard form of each equations. The lowest common denominator of both the equations is 12.

system%2812%28x%2F3%2By%2F4%29=12%2817%2F12%29%2C12%28y%2F3%2Bx%2F4%29=12%283%2F2%29%29

system%284x%2B3y=17%2C4y%2B3x=6%29

system%284x%2B3y=17%2C3x%2B4y=6%29
If you know how to use the Elimination Method, then you can solve this system and finish.

Answer by MathTherapy(10552) About Me  (Show Source):
You can put this solution on YOUR website!
The question:
Two fractions have denominators 3 and 4 and their sum is 17/12. If the numerators are switched, the sum is 3/2. Set up a linear system and solve it using elimination to determine the two numerators.
My comments:
I tried to work out this problem starting by making my two equations to try and solve the problem. I started with x/3 + y/3 = 17/12 and y/3 + x/4 = 3/2. From there I tried to do multiple different things but they all ended with a weird answer. How do I correctly solve this problem?
You started off correctly, with the exception that you should have: y%2F4, and not y%2F3 in the first equation
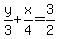
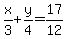
x%2F3+%2B+y%2F4+=+17%2F12
4x + 3y = 17 -------- Multiplying by LCD, 12 ------- eq (i)
y%2F3+%2B+x%2F4+=+3%2F2
4y + 3x = 18 --------- Multiplying by LCD, 12
3x + 4y = 18 --------- eq (ii)
- 12x - 9y = - 51 ---------- Multiplying eq (i) by - 3 ------ eq (iii)
12x + 16y = 72 ---------- Multiplying eq (ii) by 4 ------- eq (iv)
7y = 21 ---------- Adding eqs (iv) & (iii)
y = 21%2F7, or y = 3
x = 2
Original fractions: highlight_green%28system%28%282%2F3%29_and%2C3%2F4%29%29