SOLUTION: A (-1,2), B (3,a) and C (-3,7) are collinear. Find a
Algebra
->
Linear-equations
-> SOLUTION: A (-1,2), B (3,a) and C (-3,7) are collinear. Find a
Log On
Algebra: Linear Equations, Graphs, Slope
Section
Solvers
Solvers
Lessons
Lessons
Answers archive
Answers
Click here to see ALL problems on Linear-equations
Question 976417
:
A (-1,2), B (3,a) and C (-3,7) are collinear. Find a
Answer by
josgarithmetic(39618)
(
Show Source
):
You can
put this solution on YOUR website!
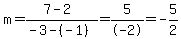
(1) Slope
(2) Slope Again but using point B