SOLUTION: I need to solve the system of equations 2x-5y+3z=-1 x+4y-2z=9 x-2y-4z=-5

Algebra ->  Linear-equations -> SOLUTION: I need to solve the system of equations 2x-5y+3z=-1 x+4y-2z=9 x-2y-4z=-5      Log On


   



Question 941993: I need to solve the system of equations 2x-5y+3z=-1 x+4y-2z=9 x-2y-4z=-5
Answer by Fombitz(32388) About Me  (Show Source):
You can put this solution on YOUR website!
Use Cramer's rule,
A=%28matrix%283%2C3%2C2%2C-5%2C3%2C1%2C4%2C-2%2C1%2C-2%2C-4%29%29
abs%28A%29=-68
.
.
A%5Bx%5D=%28matrix%283%2C3%2C1%2C-5%2C3%2C9%2C4%2C-2%2C-5%2C-2%2C-4%29%29
abs%28A%5Bx%5D%29=-204
.
.
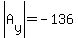
A%5By%5D=%28matrix%283%2C3%2C2%2C1%2C3%2C1%2C9%2C-2%2C1%2C-5%2C-4%29%29
abs%28A%5By%5D%29=-136
.
.
A%5Bz%5D=%28matrix%283%2C3%2C2%2C-5%2C1%2C1%2C4%2C9%2C1%2C-2%2C-5%29%29
abs%28A%5Bz%5D%29=-68
So then,
x=abs%28A%5Bx%5D%29%2Fabs%28A%29=%28-204%29%2F%28-68%29=3
y=abs%28A%5By%5D%29%2Fabs%28A%29=%28-136%29%2F%28-68%29=2
z=abs%28A%5Bz%5D%29%2Fabs%28A%29=%28-68%29%2F%28-68%29=1