Question 934439: what does the "" mean? What do I have to do on the graph paper?
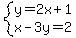
Using a scale of 2cm to 1 unit on the x and y axis, draw the graph of y = 2x+1 and x-3y= 2 for "-2
Answer by KMST(5345) (Show Source):
You can put this solution on YOUR website! It seems like the paper has to be
either graph paper somehow having squares measuring 2 cm,
or plain paper without lines.
One interpretation of the would be
that you have to show the graph of from point (-2,-3) to point (5,11) ,
but that would make the graph 28 cm tall.
The must just mean that your scale on the x-axis should go from -2 to 5.
There is no instruction for the y-axis scale,
but -2 to 5 works well too (see below).

Since the scale is 2 cm to 1 unit,
the distance between marks on each axis would be 2 cm,
and the graph above would measure 14 cm by 14 cm.
To plot each line you would need 2 points, or a point and the slope.
is an equation in slope-intercept form,
which makes it clear that the line has a slope of ,
and a y-intercept of , so (0,1) is one point,
and for every 1 unit increase in x, y increases by 2,
so with those increases, from (0,1) we get to (1,3),
and then to (2,5).
To graph , you could plot points (0,1) and (2,5),
and draw the line that passes through them.
is given in standard form,
so graphing it is not that easy.
You notice that for ,
so the line passes through (2,0).
The slope is ,
so for every 3 units increase in x,
there is a 1 unit increase in y.
Using those increments, staring from (2,0), we get to (5,1),
so to graph you could points (2,0) and (5,1),
and draw the line that passes through them.
The lines seem to intersect at (-1,-1),
If you substitute and into the equations of both lines,
it makes the equations true.
That means that point (-1,-1) belongs to both lines,
so it is the intersection point,
and the solution to the system of equations
,
which you have solved by graphing.
That was the point of the exercise.
Without the request to graph for ,
you could have made this graph:
,
which does not show the intersection point.
|
|
|