SOLUTION: For the function f(x) = (1-x)/x , use composition of functions to show that f –^1 (x) = 1/(x+1) is its inverse. I will apreciate the help guys

Algebra ->  Linear-equations -> SOLUTION: For the function f(x) = (1-x)/x , use composition of functions to show that f –^1 (x) = 1/(x+1) is its inverse. I will apreciate the help guys      Log On


   



Question 908997: For the function f(x) = (1-x)/x , use composition of functions to show that f –^1 (x) = 1/(x+1)

is its inverse.

I will apreciate the help guys

Answer by Edwin McCravy(20086) About Me  (Show Source):
You can put this solution on YOUR website!
The red graph below is the graph of %22f%28x%29%22+=++%281-x%29%2Fx.
The green dotted line is the graph of the identity function %22I%28x%29%22+=+x



The inverse function f-1 is the reflection of the graph
of f(x) in or across the identity line whose equation is I(x)=x, which
is the green dotted line above.

Let's draw the graph of  f-1 = 1%2F%28x%2B1%29 (in blue) to see it it looks like
it really it is the reflections of the red graph f(x) in or across the identity
function, which is the green dotted line I(x)=x:



Yes it does look like it is.  To show this algebraically we must find the
composition f∘-1 and also the composition  f-1∘f(x) and show that in both cases 
we get the right side of the identity function I(x)=x, which is x.

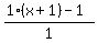
f∘f-1(x) = %281-%281%2F%28x%2B1%29%29%29%2F%281%2F%28x%2B1%29%29

Multiply top and bottom by LCD of (x+1)

f∘f-1(x) = %281%28x%2B1%29-1%29%2F1

f∘f-1(x) = %28x%2B1-1%29%2F1

f∘f-1(x) = x

So it gives x, which is the right side of the identity function I(x)=x,
which is the green dotted line.

----------

But we also have to show that it refects into I(x)=x both ways.

f-1∘f(x) = 1%2F%28%281-x%29%2Fx%2B1%29

Multiply top and bottom by LCD of x

f-1∘f(x) = x%2F%281-x%2Bx%29

f-1∘f(x) = x%2F1

f-1∘f(x) = x

We have found that both f∘f-1(x) and f-1∘f(x) are equal to the right side 
of the identity function I(x) = x, and that proves that each is the reflection
of the other in the green dotted line which is the identity function I(x) = x,
because composition with each other gives the right side of I(x) = x, which is
just x.

Edwin