Question 84932: Find the slope of any line perpendicular to the line through points (7, 15) and (8,2).
Answer by Earlsdon(6294) (Show Source):
You can put this solution on YOUR website! First, you'll recall that perpendicular lines have slopes that are the negative reciprocal of each other.
So you need to find the slope of the line passing through the given points (7, 15) and (8, 2) using the slope formula: 
(7, 15) = ( , )
(8, 2) = ( , ) Making the appropriate substitutions, you get:



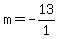
Now you need the negative reciprocal of , and this is: , so...
The slope of any line perpendicular to the line through the points (7, 15) and (8, 2) is:
|
|
|