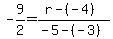
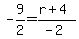
SOLUTION: (-3,-4),(-5,r)m=-9/2 please help me solve this equation
Algebra
->
Linear-equations
-> SOLUTION: (-3,-4),(-5,r)m=-9/2 please help me solve this equation
Log On
Algebra: Linear Equations, Graphs, Slope
Section
Solvers
Solvers
Lessons
Lessons
Answers archive
Answers
Click here to see ALL problems on Linear-equations
Question 846284
:
(-3,-4),(-5,r)m=-9/2 please help me solve this equation
Answer by
Fombitz(32388)
(
Show Source
):
You can
put this solution on YOUR website!