|
Question 830107: Hi, I've been having trouble solving this question on my test review for class.
The points (-2, 11) and (6, 3) lie on the same line. What is the x intercept of the line?
A. (-2, 0)
B. (0,9)
C.(9, 0)
D. (-1, 0)
I'm not quite sure how to go about solving this. I've already tried finding the slope of the line the two points rest on and solving y=mx+b. But that got me no where and I'm well and truly stumped. Please help me if you can. Thank you. (In my text book the section the problem is under is standard form. That section is in the chapter called linear functions. I hope this helps.)
Found 2 solutions by reviewermath, josgarithmetic: Answer by reviewermath(1029) (Show Source):
You can put this solution on YOUR website! Question:
The points (-2, 11) and (6, 3) lie on the same line. What is the x intercept of the line?
----------------------------------------------
Answer:
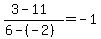
slope, m = 
y = mx + b, m = -1 so
y = -x + b, Substitute x = -2 and y = 11, then solve for b
11 = -(-2) + b
b = 9
The equation of the line is y = -x + 9.
To get the x-intercept, let y = 0 and solve for x.
0 = -x + 9
x = 9
The x-intercept is (9, 0).
Answer by josgarithmetic(39630) (Show Source):
|
|
|
| |