SOLUTION: Find the slope of the line -7x-2y=9
Algebra
->
Linear-equations
-> SOLUTION: Find the slope of the line -7x-2y=9
Log On
Algebra: Linear Equations, Graphs, Slope
Section
Solvers
Solvers
Lessons
Lessons
Answers archive
Answers
Click here to see ALL problems on Linear-equations
Question 798143
:
Find the slope of the line -7x-2y=9
Answer by
jim_thompson5910(35256)
(
Show Source
):
You can
put this solution on YOUR website!
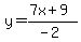
First solve for y and get the equation into
form
The equation is in
where the slope is