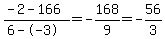
You can put this solution on YOUR website! slope =
...
A perpendicular line will have a negative inverse (reciprocal) slope of
.....................
Have more questions?
Email: HomeworkHelpers@readingboosters.com
Delighted to help.
-Reading Boosters
Website: www.MyHomeworkAnswers.com
Wanting for others what we want for ourselves.