SOLUTION: find an equation of the line with the given slope that passes through the given piont.write the equation in the form Ax+By=C m=-1/4 (-6,6)

Algebra ->  Linear-equations -> SOLUTION: find an equation of the line with the given slope that passes through the given piont.write the equation in the form Ax+By=C m=-1/4 (-6,6)      Log On


   



Question 669768: find an equation of the line with the given slope that passes through the given piont.write the equation in the form Ax+By=C m=-1/4 (-6,6)
Answer by ReadingBoosters(3246) About Me  (Show Source):
You can put this solution on YOUR website!
y = -1%2F4x + b
...
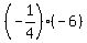
6 = %28-1%2F4%29%28-6%29 + b
b = 6 - 6%2F4
b = 24%2F4+-+6%2F4+=+18%2F4+=+9%2F2
...
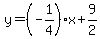
y=%28-1%2F4%29x+%2B+9%2F2
highlight_green%28%281%2F4%29x+%2B+y+=+9%2F2%29
...
.....................
Delighted to help.
-Reading Boosters
Wanting for others what we want for ourselves.
www.MyHomeworkAnswers.com