SOLUTION: two fractions have denominators 3 and 4. Their sum is 17/12. If the numerators are switched, the sum is 3/2. Determine the two numerators.

Algebra ->  Linear-equations -> SOLUTION: two fractions have denominators 3 and 4. Their sum is 17/12. If the numerators are switched, the sum is 3/2. Determine the two numerators.       Log On


   



Question 660214: two fractions have denominators 3 and 4. Their sum is 17/12. If the numerators are switched, the sum is 3/2. Determine the two numerators.

Answer by josmiceli(19441) About Me  (Show Source):
You can put this solution on YOUR website!
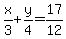
(1) +x%2F3+%2B+y%2F4+=+17%2F12+
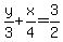
(2) +y%2F3+%2B+x%2F4+=+3%2F2+
-----------------------
(1) +4x+%2B+3y+=+17+
(2) +4y+%2B+3x+=+18+
-------------------
(1) +4x+%2B+3y+=+17+
(2) +3x+%2B+4y+=+18+
-------------------
Multiply both sides of (1) by +3+
Multiply both sides of (2) by +4+
------------------
(1) +12x+%2B+9y+=+51+
(2) +12x+%2B+16y+=+72+
--------------------
Subtract (1) from (2)
(2) +12x+%2B+16y+=+72+
(1) +-12x+-+9y+=+-51+
+7y+=+21+
+y+=+3+
---------
and, since
(1) +4x+%2B+3%2A3+=+17+
(1) +4x+=+17+-+9+
(1) +4x+=+8+
(1) +x+=+2+
------------
The numerators are 2 and 3
check:
(1) +x%2F3+%2B+y%2F4+=+17%2F12+
(1) +2%2F3+%2B+3%2F4+=+17%2F12+
(1) +8%2F12+%2B+9%2F12+=+17%2F12+
(1) +17%2F12+=+17%2F12+
(2) +y%2F3+%2B+x%2F4+=+3%2F2+
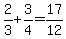
(2) +3%2F3+%2B+2%2F4+=+3%2F2+
(2) +1+%2B+1%2F2+=+3%2F2+
(2) +3%2F2++=+3%2F2+
OK