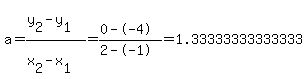
hahaWe are trying to find equation of form y=ax+b, where a is slope, and b is intercept, which passes through points (x1, y1) = (-1, -4) and (x2, y2) = (2, 0).
Slope a is .
Intercept is found from equation , or . From that,
intercept b is , or .
y=(1.33333333333333)x + (-2.66666666666667)
Your graph:

|