SOLUTION: which equation represents a line with a y-intecept and (0,4) and an x-intercept of (3,0)?
Algebra
->
Linear-equations
-> SOLUTION: which equation represents a line with a y-intecept and (0,4) and an x-intercept of (3,0)?
Log On
Algebra: Linear Equations, Graphs, Slope
Section
Solvers
Solvers
Lessons
Lessons
Answers archive
Answers
Click here to see ALL problems on Linear-equations
Question 431270
:
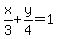
which equation represents a line with a y-intecept and (0,4) and an x-intercept of (3,0)?
Answer by
robertb(5830)
(
Show Source
):
You can
put this solution on YOUR website!
Use the intercept form:
You can just simplify this.