SOLUTION: Find the coefficient of x3 in the expansion of (x − 2)5

Algebra ->  Linear-equations -> SOLUTION: Find the coefficient of x3 in the expansion of (x − 2)5      Log On


   



Question 429070: Find the coefficient of x3 in the expansion of (x − 2)5
Found 2 solutions by Gogonati, poliphob3.14:
Answer by Gogonati(855) About Me  (Show Source):
You can put this solution on YOUR website!
Solution:Rewrite the binomial as a product:
%28x-5%29%5E5=%28x-5%29%5E3%28x-5%29%5E2=%28x%5E3-15x%5E2%2B75x-225%29%28x%5E2-10x%2B25%29
The coefficient of x^3 is:25x%5E3%2B150x%5E3%2B75x%5E3=250x%5E3
Answer:The coefficient of x^3 is 250.
Done

Answer by poliphob3.14(115) About Me  (Show Source):
You can put this solution on YOUR website!
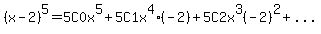
SOLUTION:%28x-2%29%5E5=5C0x%5E5%2B5C1x%5E4%2A%28-2%29%2B5C2x%5E3%28-2%29%5E2%2B...
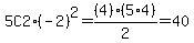
The coefficient of x^3 is: 5C2%2A%28-2%29%5E2=%284%29%2A%285%2A4%29%2F2=40.
Done.