SOLUTION: Reduce to lowest terms. -2x-8/x^2+2x-8

Algebra ->  Linear-equations -> SOLUTION: Reduce to lowest terms. -2x-8/x^2+2x-8      Log On


   



Question 355848: Reduce to lowest terms.
-2x-8/x^2+2x-8

Found 2 solutions by Fombitz, jsmallt9:
Answer by Fombitz(32388) About Me  (Show Source):
Answer by jsmallt9(3758) About Me  (Show Source):
You can put this solution on YOUR website!
%28-2x-8%29%2F%28x%5E2%2B2x-8%29
To reduce a fraction you cancel factors that are common to the numerator and denominator. And in order to cancel factors you must know what the factors are. So we start by factoring the numerator and denominator, if possible.

When factoring, always start by factoring out the Greatest Common Factor (GCF) unlees it is 1 which we rarely factor out. The numerator has A GCF of 2 (or -2). The GCF of the denominator is 1:
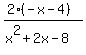
%282%28-x-4%29%29%2F%28x%5E2%2B2x-8%29
After GCF factoring you move on to any and all other factoring techniques which work. The denominator is a trinomial (3 term expression) whcih factors fairly easily. (The factors of -8 which add up to 2 are -2 and 4.):
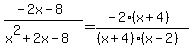
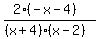
%282%28-x-4%29%29%2F%28%28x%2B4%29%28x-2%29%29
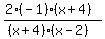
At this point we do not have any common factors to cancel. But the -x-4 in the numerators is the opposite of the x+4 in the denominator. So if we factor out a -1 from either one, they will match:
%282%28-1%29%28x%2B4%29%29%2F%28%28x%2B4%29%28x-2%29%29
Now the (x+4)'s cancel and the 2*(-1) in the numerator becomes -2:
%28-2%2Across%28%28x%2B4%29%29%29%2F%28cross%28%28x%2B4%29%29%28x-2%29%29
which reduces to:
%28-2%29%2F%28x-2%29
And this is out reduced fraction. (Note: The -2's do not cancel! The -2 in the denominator is not a factor of the denominator and only factors can be canceled!)

P.S. When posring problems with fractions, please put the entire numerator and the entire denominator in parentheses. For example, this problem should have been posted as
(-2x-8)/(x^2+2x-8)
Tutors are more likely to answer your questions if they are clear.
-2x-8/x^2+2x-8
means
-2x-8%2Fx%5E2%2B2x-8
which is not the problem (I don't believe.).