|
Question 245448: Hello,
I am stuck on a problem and I need some help please. The problem is the following:
Find x,y intercept, if possible for f(x) = x^2 - x + 2
if you could show me the work for reaching this answer I would appreciate it. This has me stumped.
Thank you in advance for your help!!
Answer by Alan3354(69443) (Show Source):
You can put this solution on YOUR website! Find x,y intercept, if possible for f(x) = x^2 - x + 2
---------
To get the y-int, set x = 0
x = 0, y = 2 --> (0,2)
----------------
For x:
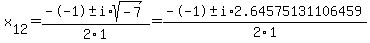
x^2 - x + 2 = 0
| Solved by pluggable solver: SOLVE quadratic equation (work shown, graph etc) |
Quadratic equation (in our case ) has the following solutons:

For these solutions to exist, the discriminant should not be a negative number.
First, we need to compute the discriminant : .
The discriminant -7 is less than zero. That means that there are no solutions among real numbers.
If you are a student of advanced school algebra and are aware about imaginary numbers, read on.
In the field of imaginary numbers, the square root of -7 is + or - .
The solution is , or
Here's your graph:
 |
-----------
There are no x-intercepts.
|
|
|
| |