SOLUTION: I have find the slope intercept form of the line for the following problem (-2, -3), (2,7) This is what I came u

Algebra ->  Linear-equations -> SOLUTION: I have find the slope intercept form of the line for the following problem (-2, -3), (2,7) This is what I came u      Log On


   



Question 239867: I have find the slope intercept form of the line for the following problem

(-2, -3), (2,7)
This is what I came up with...but do not believe it is correct
m= -3-7/2-3 (fraction)
m= -10/1 (fraction)
y-3 = 10 (fractions)
x+-2 -1
10(x+2)= -1(y-3)
10x)+20= -1y+-3
10x= 1y=-2

Answer by algebrapro18(249) About Me  (Show Source):
You can put this solution on YOUR website!
Well first we need to find the slope of the line. To do that we use the slope formula which is:

m+=+%28y2-y1%29%2F%28x2-x1%29

so plugging in we get:

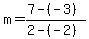
m+=+%287-%28-3%29%29%2F%282-%28-2%29%29
m+=+%287%2B3%29%2F%282%2B2%29
m+=+%2810%29%2F%284%29
m+=+5%2F2

now that we have the slope there are 2 different ways we can get the equation of the line. The first is using the point-slope formula. The other is to use the slope intercept form of a line and then solving for b.

Method 1: point-slope formula
To use the point-slope formula we pick a point and plug in. I picked (2,7) but it will work if you pick the other point as well.

y-y1=m(x-x1)
y-7=5/2(x-2)
y=5/2x-5+7
y=5/2x+2

Method 2: slope-intercept form

y=mx+b
7=5/2(2)+b
7=5+b
2=b

y = 5/2x+2.