SOLUTION: Please help me find the slope of the line that passes through the points (-7,-3) and (2,8)
Algebra
->
Linear-equations
-> SOLUTION: Please help me find the slope of the line that passes through the points (-7,-3) and (2,8)
Log On
Algebra: Linear Equations, Graphs, Slope
Section
Solvers
Solvers
Lessons
Lessons
Answers archive
Answers
Click here to see ALL problems on Linear-equations
Question 225328
:
Please help me find the slope of the line that passes through the points (-7,-3) and (2,8)
Answer by
LtAurora(115)
(
Show Source
):
You can
put this solution on YOUR website!
Slope is:
So, plug in our poitns:
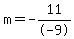
Simplify:
The negatives cancel out to leave: