|
Question 207179This question is from textbook Georgia High School Mathematics
: Find the value of x or y so that the line passing through the two points has the given slope.
(-2,8),(x,4); m=4/5
Please help me out, I just cannot seem figure out how to solve this
Any help would be appreciated
thank you very much
This question is from textbook Georgia High School Mathematics
Found 2 solutions by Earlsdon, mickclns: Answer by Earlsdon(6294) (Show Source):
You can put this solution on YOUR website! First, recall the formula for the slope, m, of a line when you are given two points on that line:

The two given points are: (-2,8) and (x,4) and these are the ( , ) and ( , ) so that:
, , , and , and is given.
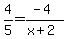
Make the the appropriate substitutions into the formula for the slope:
Simplify.
Multiply both sides by .
Multiply both sides by (x+2)
Subtract 2 from both sides.

Check:



Answer by mickclns(59) (Show Source):
|
|
|
| |