SOLUTION: Find the slope and y-intercept. 6x – 9y = –72
Algebra
->
Linear-equations
-> SOLUTION: Find the slope and y-intercept. 6x – 9y = –72
Log On
Algebra: Linear Equations, Graphs, Slope
Section
Solvers
Solvers
Lessons
Lessons
Answers archive
Answers
Click here to see ALL problems on Linear-equations
Question 123550
:
Find the slope and y-intercept.
6x – 9y = –72
Answer by
HyperBrain(694)
(
Show Source
):
You can
put this solution on YOUR website!
6x – 9y = –72
The slope intercept form is y=mx+b
where
m
is the slope
and
b
is the y-intercept
So, we need to turn this to a slope intercept form.
6x-9y=-72
6x-6x-9y=-6x-72
0-9y=-6x-72
-9y=-6x-72
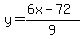
9y=6x+72
or
SO, m=
and b=-8
Therefore, the slope(m) is 2/3 and the y-intercept is -8
Power up,
HyperBrain!