SOLUTION: The line x/3 + y/4 = 1 forms a triangle with the x and y axes in the first quadrant. Lines passing through the point (1,1), which is inside this triangle, are free to pivot aroun

Algebra ->  Linear-equations -> SOLUTION: The line x/3 + y/4 = 1 forms a triangle with the x and y axes in the first quadrant. Lines passing through the point (1,1), which is inside this triangle, are free to pivot aroun      Log On


   



Question 1183556: The line x/3 + y/4 = 1 forms a triangle with the x and y axes in the first quadrant. Lines passing through the point (1,1), which is inside
this triangle, are free to pivot around it inside this triangle up to the x- and y-intercepts of the line x/3 + y/4 = 1. What is the maximum or
minimum area of the region that can be enclosed by the line x/3 + y/4 = 1, any of the pivoting lines around the point (1,1), and the x or y axis?

Thank you in advance.

Found 2 solutions by greenestamps, robertb:
Answer by greenestamps(13200) About Me  (Show Source):
You can put this solution on YOUR website!


The x- and y-intercepts are (3,0) and (0,4).

graph%28400%2C400%2C-1%2C4%2C-1%2C5%2C%28-4%2F3%29x%2B4%29

The lines to be considered are all the lines passing through (1,1) that have x-intercepts no greater than 3 and y-intercepts no greater than 4. This next graph shows three such lines: with steepest (most negative) slope (green), parallel to the given line (blue), and with the least steep (least negative) slope (purple).



Let the x-intercept of one of these lines be (a,0). Note the problem restricts the values of a between the x-intercepts of the green and purple lines, which are 4/3 and 3.

Find the slope and equation of the line through (a,0) and (1,1):

m=%281-0%29%2F%281-a%29+=+1%2F%281-a%29

y-1+=+%281%2F%281-a%29%29%28x-1%29
y-1+=+%28x-1%29%2F%281-a%29
y+=+%28x-1%29%2F%281-a%29%2B1+=+%28x-1%2B1-a%29%2F%281-a%29+=+%28x-a%29%2F%281-a%29

The triangle formed by one of these lines and the x- and y-axes is a right triangle with legs whose lengths are the x- and y-intercepts. We know the x-intercept is a; to find the y-intercept, set x=0 in the equation of the line and solve:

y+=+%280-a%29%2F%281-a%29+=+a%2F%28a-1%29

The area of the triangle is one-half the product of the lengths of the legs:

A+=+%281%2F2%29%28a%29%28a%2F%28a-1%29%29+=+a%5E2%2F%282a-2%29

We can/could find the minimum area using calculus; but calculus alone will not let us find the maximum area. With the restriction on the range of values for a, the easiest way to find the maximum and minimum areas is to graph the equation for the area on a graphing calculator. Here is a graph of y=x%5E2%2F%282x-2%29

graph%28400%2C400%2C-1%2C4%2C-1%2C4%2Cx%5E2%2F%282x-2%29%29

The graph is well-behaved; there is clearly a minimum area; and the maximum area will be at one of the endpoints of the required interval.

The minimum area is when a=2 (which we would have found using calculus, if we had gone that way with the problem); that makes the x- and y-intercepts 2 and 2, and the minimum area of the triangle is then (1/2)(2)(2) = 2.

Using the graph, we find the maximum area by evaluating the area function at the limiting values a=4/3 and a=3. We find

A%284%2F3%29+=+8%2F3
A%283%29+=+9%2F4

So the maximum area of the triangles is 8/3

Finally, we need to remember that the problem asks for the maximum and minimum areas of the region enclosed by the given line and one of the lines passing through (1,1). Clearly the maximum area will be when the area of the triangle in the preceding discussion is minimum, and vice versa.

The area of the triangle formed by the given line and the x- and y-axes is (1/2)(4)(3)=6, so we have the answers to the problem:

ANSWERS:
maximum area = 6-2 = 4
minimum area = 6-8/3 = 10/3


Answer by robertb(5830) About Me  (Show Source):
You can put this solution on YOUR website!
The line passing through the point (1,1) with slope s is represnted by the equation
y-1=s%28x-1%29.
the x-intercept of the line is x+=+1-1%2Fs. (Obtained by letting y=0 and solving for x.) Based on the specifics of the problem,
the range of values of s is the closed interval [-3, -1/2].
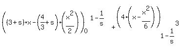
The area of the region enclosed by the line x/3 + y/4 = 1, any of the pivoting lines around the point (1,1), and the x and/or y axis is then given by


=

= %281%2F2%29%2A%28%28s-1%29%5E2%2Fs%29%2B6 ===> A+=+%281%2F2%29%2A%28%28s-1%29%5E2%2Fs%29%2B6
we now look for the extrema of this area function.
dA%2Fds+=+%28s%5E2+-+1%29%2F%282s%5E2%29+=+0 ===> s+=+%2B-+1.
Choose s = -1 because 1 is not in the range of values of s, i.e., [-3, -1/2].
If -3+%3C=+s+%3C+-1, dA%2Fds+%3E+0;
If -1+%3C+s+%3C=+-1%2F2, dA%2Fds+%3C+0, hence by the first derivative test
A has a local maximum at s+=+-1.

The absolute extrema are obtained by comparing the function value at s = -1 with those of the function at s = -1/2 and s = -3
(the endpoints of the closed interval [-3, -1/2]).
A%28-1%29+=+%281%2F2%29%2A%28%28-2%29%5E2%2F%28-1%29%29+%2B+6+=+highlight%284%29 <--- maximum area
<---minimum area
.
Therefore the max area occurs when s = -1, defined by the line y-1+=+-1%2A%28x-1%29, having enclosed area of 4.
The min area occurs when s = -3, defined by the line y-1+=+-3%28x-1%29, having enclosed area of 10/3.