SOLUTION: Find the domain and range of A): 1/(√(3-2x-x^2)) B): 1/(√(x^2+2x+3))

Algebra ->  Linear-equations -> SOLUTION: Find the domain and range of A): 1/(√(3-2x-x^2)) B): 1/(√(x^2+2x+3))      Log On


   



Question 1177051: Find the domain and range of A): 1/(√(3-2x-x^2))
B): 1/(√(x^2+2x+3))

Answer by MathLover1(20850) About Me  (Show Source):
You can put this solution on YOUR website!
Find the domain and range of
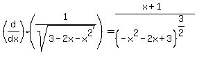
A):
y=1%2F%28sqrt%283-2x-x%5E2%29%29
domain: exclude all values of x that make denominator equal to zero
sqrt%283-2x-x%5E2%29=0 ...will be if
3-2x-x%5E2=0
3-3x%2Bx-x%5E2=0
3%281-x%29%2Bx%281-x%29=0
%283%2Bx%29%281-x%29=0
solutions:
x=-3
x=1
domain is: { x element R : -3%3Cx%3C1 }
range:
to find the range of a rational function use the derivative
=> if numerator equal to zero then x=-1
plug in your function and find y
y=1%2F%28sqrt%283-2%28-1%29-%28-1%29%5E2%29%29=1%2Fsqrt%283%2B2-1%29=1%2Fsqrt%284%29=1%2F2
so range is { y element R : y+%3E=+1%2F2 }


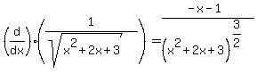
B):
y=1%2F%28sqrt%28x%5E2%2B2x%2B3%29%29-> as you can see, no matter what value is x, denominator cannot be equal to zero
domain: R (all real numbers)
range:
=>if numerator equal to zero then x=-1
y=1%2F%28sqrt%28%28-1%29%5E2%2B2%2A%28-1%29%2B3%29%29=1%2Fsqrt%281-2%2B3%29=1%2Fsqrt%282%29->

so, range is: { y element R : +0%3C+y+%3C=1%2Fsqrt%282%29 }