SOLUTION: Find the value of k so that the line containing the points (-2,k) and (7,-3) is perpendicular to the line containing the points (0,5) and (-5,2).

Algebra ->  Linear-equations -> SOLUTION: Find the value of k so that the line containing the points (-2,k) and (7,-3) is perpendicular to the line containing the points (0,5) and (-5,2).      Log On


   



Question 1164278: Find the value of k so that the line containing the points (-2,k) and (7,-3) is perpendicular to the line containing the points (0,5) and (-5,2).
Answer by josgarithmetic(39631) About Me  (Show Source):
You can put this solution on YOUR website!
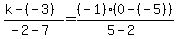
Perpendicular, then the slopes are negative reciprocal of each other.


%28k-%28-3%29%29%2F%28-2-7%29=%28-1%29%2A%280-%28-5%29%29%2F%285-2%29
Simplify and solve for k.