SOLUTION: If x is not equal to -3, the slope of the line through (5,15) and (x+8, x2-2x) is

Algebra ->  Linear-equations -> SOLUTION: If x is not equal to -3, the slope of the line through (5,15) and (x+8, x2-2x) is      Log On


   



Question 1106209: If x is not equal to -3, the slope of the line through (5,15) and (x+8, x2-2x) is
Answer by ankor@dixie-net.com(22740) About Me  (Show Source):
You can put this solution on YOUR website!
If x is not equal to -3, the slope of the line through (5,15) and (x+8), (x^2-2x) is
use the slope formula: m = %28%28y2-y1%29%29%2F%28%28x2-x1%29%29, where:
x1 = 5, y1 = 15
x2 = (x+8), y2 = (x^2-2x)
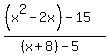
m = %28%28x%5E2-2x%29-15%29%2F%28%28x%2B8%29-5%29%29
:
m = %28%28x%5E2-2x-15%29%29%2F%28%28x%2B8-5%29%29
Factor the numerator
m = %28%28x-5%29%28x%2B3%29%29%2F%28%28x%2B3%29%29
cancel (x+3)
m = (x-5) is the slope