SOLUTION: Let g be the function defined by g(x) = {- 1/2x+3 if x < 5 { { &#8730;x-5 if x &#8805; 5 Find g(&#8722;5),g(0), g(5), and g(10) g(-5)= ?? g(0)= ??

Algebra ->  Linear-equations -> SOLUTION: Let g be the function defined by g(x) = {- 1/2x+3 if x < 5 { { &#8730;x-5 if x &#8805; 5 Find g(&#8722;5),g(0), g(5), and g(10) g(-5)= ?? g(0)= ??       Log On


   



Question 1065697: Let g be the function defined by
g(x) = {- 1/2x+3 if x < 5
{
{ √x-5 if x ≥ 5
Find
g(−5),g(0), g(5), and g(10)
g(-5)= ??
g(0)= ??
g(5)= ??
g(10)= ??

Answer by Fombitz(32388) About Me  (Show Source):
You can put this solution on YOUR website!
I'll do one you do the rest.
-5%3C5 so use the first definition,
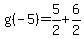
g%28-5%29=-%281%2F2%29%28-5%29%2B3
g%28-5%29=5%2F2%2B6%2F2
g%28-5%29=11%2F2
Do the same for the rest.