SOLUTION: Find the slope of the line with equation (k-2)y-2/5x-12(k+1)=-2(x+k)-4y+3 if the y-intercept is -2/7.

Algebra ->  Linear-equations -> SOLUTION: Find the slope of the line with equation (k-2)y-2/5x-12(k+1)=-2(x+k)-4y+3 if the y-intercept is -2/7.      Log On


   



Question 1057822: Find the slope of the line with equation (k-2)y-2/5x-12(k+1)=-2(x+k)-4y+3 if the y-intercept is -2/7.
Answer by josgarithmetic(39618) About Me  (Show Source):
You can put this solution on YOUR website!
NEED TO FIX MISTAKE - MINE!

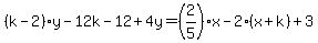
The given equation: %28k-2%29y-2%2F5x-12%28k%2B1%29=-2%28x%2Bk%29-4y%2B3
Really must have meant %28k-2%29y-%282%2F5%29x-12%28k%2B1%29=-2%28x%2Bk%29-4y%2B3

%28k-2%29y-12k-12=%282%2F5%29x-2%28x%2Bk%29-4y%2B3

%28k-2%29y-12k-12%2B4y=%282%2F5%29x-2%28x%2Bk%29%2B3

%28k-2%2B4%29y-12k-12=%282%2F5%29x-2x-2k%2B3
%28k%2B2%29y=%282%2F5%29x-%2810%2F5%29x-2k%2B3%2B12k%2B12
%28k%2B2%29y=-%288%2F5%29x%2B10k%2B15------almost but not yet slope-intercept form;

highlight%28y=-%288%2F5%28k%2B2%29%29x%2B%2810k%2B15%29%2F%28k%2B2%29%29-----NOW in slope-intercept form.


That equational form tells that slope is -8%2F%285k%2B10%29 and -2%2F7=%2810k%2B15%29%2F%28k%2B2%29.


----------------------------------------------
All the rest of this is wrong........

3%2F%28k%2B2%29=-2%2F7
3%2A7=-2%28k%2B2%29
21=-2k-4
25=-2k
highlight%28k=-25%2F2%29
-
Evaluate slope:
-8%2F%285%28-25%2F2%29%2B10%29
-
8%2F%28%28125%2F2%29%2B10%29
-
8%2F%28125%2F2%2B20%2F2%29
-
8%2F%28145%2F2%29
-
highlight%2816%2F145%29-----------the slope