SOLUTION: Find the distance between the points (-1,3)(-6-9)

Algebra ->  Linear-equations -> SOLUTION: Find the distance between the points (-1,3)(-6-9)       Log On


   



Question 1045383: Find the distance between the points (-1,3)(-6-9)

Answer by ikleyn(52802) About Me  (Show Source):
You can put this solution on YOUR website!
.
Find the distance between the points (-1,3)(-6-9)
~~~~~~~~~~~~~~~~~~~~~~~~~

The distance between two points  (x%5B1%5D,y%5B1%5D)  and  (x%5B2%5D,y%5B2%5D)  in a coordinate plane is 

d = sqrt%28%28x%5B2%5D-x%5B1%5D%29%5E2+%2B+%28y%5B2%5D-y%5B1%5D%29%5E2%29.

It is the general formula, and everybody knows it.


In  your case the distance is 

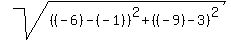
d = sqrt%28%28%28-6%29-%28-1%29%29%5E2+%2B+%28%28-9%29-3%29%5E2%29 = sqrt%28%28-5%29%5E2+%2B+%28-12%29%5E2%29 = sqrt%2825+%2B+144%29 = sqrt%28169%29 = 13.


Answer.  The distance between the given points is 13.