|
This Lesson (Transformations of coordinates) was created by by chillaks(0)  : View Source, ShowAbout chillaks: am a freelancer
In the following lesson we will deal with different kinds of the Transformation of axis and will deal with the issues related to them.
Transformations of coordinate
To transform from one coordinate system to another. Consider ( x, y ) & ( , ), these are coordinates of arbitrary point P in old and new coordinate systems correspondingly.
Translation of axes :
Let's move the coordinate system XOY in a plane so, that the axes OX and OY are parallel to themselves, and the origin of coordinates O moves to the point ( a, b ). We'll receive the new coordinate system  
Now,
and
and
and
Coordinates of the point P in the new and old coordinate systems are tied by the equations:
=>
and,
=>
Another form of transformation is by rotating the axis about the origin or a fixed point.
Turning around origin of coordinates.
Let's turn the coordinate system XOY in a plane by an angle Theta in anticlockwise direction.
And,
and
and
Now coordinates of the point P in the new and old coordinate systems are tied by the equations:
...................(1)
...................(2)
If the axis is rotated in the clockwise direction then the change coordinates will be obtained by replacing angle by .
The change coordinates will be,
or,
or, ...............(3)
Now,
or,
or, ...............(4)
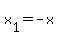
In the particular case when we'll receive a central symmetry relatively about the origin O :
Hence putting in equation 1 and 2, the coordinates will be,
as cos =-1 and sin =0
Hence,
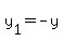
Similarly,
or
For a homothetic transformation with a center O (a,b) and a coefficient
The change coordinates will be,
For a Affine Transformation :
The change coordinates will be,
where, 
This lesson has been accessed 8105 times.
|
| |