SOLUTION: In what ratio does line x-y-2=0 divide line segment joining the points (3,-1) and (8,9). Please help asap as i have my board maths exams on Monday

Algebra ->  Length-and-distance -> SOLUTION: In what ratio does line x-y-2=0 divide line segment joining the points (3,-1) and (8,9). Please help asap as i have my board maths exams on Monday      Log On


   



Question 953387: In what ratio does line x-y-2=0 divide line segment joining the points (3,-1) and (8,9). Please help asap as i have my board maths exams on Monday
Found 2 solutions by Fombitz, Theo:
Answer by Fombitz(32388) About Me  (Show Source):
You can put this solution on YOUR website!
First find the point of intersection.
The line going through the two points has a slope of
m=%289-%28-1%29%29%2F%288-3%29=10%2F5=2
So the equation of the line is,
y-9=2%28x-8%29
y-9=2x-16
y=2x-7
Then,
x-%282x-7%29-2=0
x-2x%2B7-2=0
-x%2B5=0
x=5
and
y=2%285%29-7
y=10-7
y=3
So the intersection point is (5,3).
Now you can use either the x values or y values to calculate the ratio.
X values,
%285-3%29%2F%288-3%29=2%2F5
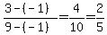
Y values,
%283-%28-1%29%29%2F%289-%28-1%29%29=4%2F10=2%2F5
You will get the same answer.
R=2%2F5
.
.
.


Answer by Theo(13342) About Me  (Show Source):
You can put this solution on YOUR website!
your first line is based on the equation x - y - 2 = 0

in slope intercept form, this equation is:

y = x-2

your second line contains the points (3,-1) and (8,9)

the slope of this line is (9+1)/(8-3) = 10/5 = 2.

the slope intercept form of the equation of the second line is y = 2x + b, where 2 is the slope.

replace y with 9 and x with 8 and solve for b to get:

9 = 2(8) + b which becomes:
9 = 16 + b which becomes:
b = -7

the equation for your second line becomes:

y = 2x - 7

you have 2 lines and are looking for their intersection.

the equations are:

y = x - 2
y = 2x - 7

subtract the first equation from the second to get:

0 = x - 5

solve for x to get x = 5

in the first equation, y = x - 2 becomes y = 5 - 2 which becomes y = 3.

in the second equation, y = 2x - 7 becomes y = 10 - 7 which becomes y = 3.

the common point to both lines is the point (5,3).

the line segment joining the points (3,-1) and (8,9) has another point in between that is at (5,3).

this splits the line into 2 smaller line segments.

the first of the smaller line segments is between (3,-1) and (5,3).

the second of the smaller line segments is between (5,3) and (8,9)

you need to find the length of each of these smaller line segments and then divide the length of the first smaller line segment by the length of the second smaller line segment to get the ratio of the first smaller line segment to the second smaller line segment.

the formula for finding the length of any line segment is L = sqrt((x2-x1)^2 + (y2-y1)^2)

(x1,y1) and (x2,y2) are point on the ends of the line segment you want to find the length of.

in the first smaller line segment, (x1,y1) = 3,-1) and (x2,y2) = (5,3).

in the second smaller line segment, (x1,y1) = 5,3) and (x2,y2) = 8,9).

applying this formula to each smaller line segment, .....

the length of the first smaller line segment becomes sqrt(20).

the length of the second smaller line segment becomes sqrt(45).

sqrt(20) simplifies to 2 * sqrt(5).

sqrt(45) simplifies to 3 * sqrt(5).

(2 * sqrt(5)) divided by (3 * sqrt(5)) becomes 2/3.

that's the ratio of the length of the first smaller line to the length of the second smaller line.

the larger line segment is split into a ratio of 2 to 3.