SOLUTION: The vertices of rectangle ABCD on a coordinate grid are A(2, 6), B(2, 7), C(8, 7) and D(8, 6). Which of these rectangles is congruent to rectangle ABCD? Rectangle with verti

Algebra ->  Length-and-distance -> SOLUTION: The vertices of rectangle ABCD on a coordinate grid are A(2, 6), B(2, 7), C(8, 7) and D(8, 6). Which of these rectangles is congruent to rectangle ABCD? Rectangle with verti      Log On


   



Question 651538: The vertices of rectangle ABCD on a coordinate grid are A(2, 6), B(2, 7), C(8, 7) and D(8, 6).

Which of these rectangles is congruent to rectangle ABCD?
Rectangle with vertices at (-3,2) (-2, 2), (-2, -3) , (-3, -3)
Rectangle with vertices at (-1, -7), (-1, -6), (5, -6) , (5, -7)
Rectangle with vertices at (7, -2), (9, -2), (9, 3) , (7, 3)
Rectangle with vertices at (-8, 5), (-2, 5), (-2, 7) , (-8, 7)



I tried to work it on my own but i compleletly forgot how to?

Answer by MathLover1(20850) About Me  (Show Source):
You can put this solution on YOUR website!
answer is: Rectangle with vertices at (-1, -7), (-1, -6), (5, -6) , (5, -7)
here are the lengths of its sides:
(-1, -7), (-1, -6),
Solved by pluggable solver: Distance Formula to determine length on coordinate plane
The distance (d) between two points is given by the following formula:

d=sqrt%28%28x2-x1%29%5E2+%2B+%28y2-y1%29%5E2%29

Thus in our case, the required distance is
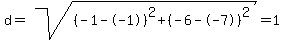
d=sqrt%28%28-1--1%29%5E2+%2B+%28-6--7%29%5E2%29=+1+


For more on this concept, refer to Distance formula.


(5, -6) , (5, -7)
Solved by pluggable solver: Distance Formula to determine length on coordinate plane
The distance (d) between two points is given by the following formula:

d=sqrt%28%28x2-x1%29%5E2+%2B+%28y2-y1%29%5E2%29

Thus in our case, the required distance is
d=sqrt%28%285-5%29%5E2+%2B+%28-6--7%29%5E2%29=+1+


For more on this concept, refer to Distance formula.


(-1, -6), (5, -6)
Solved by pluggable solver: Distance Formula to determine length on coordinate plane
The distance (d) between two points is given by the following formula:

d=sqrt%28%28x2-x1%29%5E2+%2B+%28y2-y1%29%5E2%29

Thus in our case, the required distance is
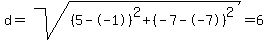
d=sqrt%28%285--1%29%5E2+%2B+%28-6--6%29%5E2%29=+6+


For more on this concept, refer to Distance formula.


(-1, -7), (5, -7)
Solved by pluggable solver: Distance Formula to determine length on coordinate plane
The distance (d) between two points is given by the following formula:

d=sqrt%28%28x2-x1%29%5E2+%2B+%28y2-y1%29%5E2%29

Thus in our case, the required distance is
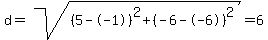
d=sqrt%28%285--1%29%5E2+%2B+%28-7--7%29%5E2%29=+6+


For more on this concept, refer to Distance formula.



here are the lengths of sides of rectangle ABCD on a coordinate grid are A(2, 6), B(2, 7), C(8, 7) and D(8, 6):

A(2, 6), B(2, 7), :
Solved by pluggable solver: Distance Formula to determine length on coordinate plane
The distance (d) between two points is given by the following formula:

d=sqrt%28%28x2-x1%29%5E2+%2B+%28y2-y1%29%5E2%29

Thus in our case, the required distance is
d=sqrt%28%282-2%29%5E2+%2B+%287-6%29%5E2%29=+1+


For more on this concept, refer to Distance formula.



C(8, 7) and D(8, 6)
Solved by pluggable solver: Distance Formula to determine length on coordinate plane
The distance (d) between two points is given by the following formula:

d=sqrt%28%28x2-x1%29%5E2+%2B+%28y2-y1%29%5E2%29

Thus in our case, the required distance is
d=sqrt%28%288-8%29%5E2+%2B+%286-7%29%5E2%29=+1+


For more on this concept, refer to Distance formula.



A(2, 6),C(8, 7)
Solved by pluggable solver: Distance Formula to determine length on coordinate plane
The distance (d) between two points is given by the following formula:

d=sqrt%28%28x2-x1%29%5E2+%2B+%28y2-y1%29%5E2%29

Thus in our case, the required distance is
d=sqrt%28%288-2%29%5E2+%2B+%287-6%29%5E2%29=+6.08276253029822+


For more on this concept, refer to Distance formula.



B(2, 7),D(8, 6)
Solved by pluggable solver: Distance Formula to determine length on coordinate plane
The distance (d) between two points is given by the following formula:

d=sqrt%28%28x2-x1%29%5E2+%2B+%28y2-y1%29%5E2%29

Thus in our case, the required distance is
d=sqrt%28%288-2%29%5E2+%2B+%286-7%29%5E2%29=+6.08276253029822+


For more on this concept, refer to Distance formula.


you can prove this way that all other rectangles are not congruent to ABCD