SOLUTION: Please help, Show that vectors a = 2i-4j-k, b = 3i+2j-2k and c = 5i-2j-3k can form the sides of a triangle, find the length of each side and hence show that the triangle has a ri

Algebra ->  Length-and-distance -> SOLUTION: Please help, Show that vectors a = 2i-4j-k, b = 3i+2j-2k and c = 5i-2j-3k can form the sides of a triangle, find the length of each side and hence show that the triangle has a ri      Log On


   



Question 364654: Please help,
Show that vectors a = 2i-4j-k, b = 3i+2j-2k and c = 5i-2j-3k can form the sides of a triangle, find the length of each side and hence show that the triangle has a right angle. **sketch the triangle of vectors, indicating their directions and the right angle,** having trouble with this bit especially.
Regards
John

Answer by Edwin McCravy(20056) About Me  (Show Source):
You can put this solution on YOUR website!

They can form a triangle if one of them is the difference of the other two.
So let's subtract them all to find out:

b-c = (3i+2j-2k)-(5i-2j-3k) = 3i+2j-2k-5i+2j+3k = -2i+4j+k, that's not a

c-b = -(b-c) = -(-2i+4j+k) = 2i-4j-k, that's not a

a-b = (2i-4j-k)-(3i+2j-2k) = 2i-4j-k-3i-2j+2k = -i-6j+k, that's not c

b-a = -(a-b) = -(-i-6j+k) = i+6j-k, that's not c

a-c = (2i-4j-k)-(5i-2j-3k) = 2i-4j-k-5i+2j+3k  = -3i-2j+2k, that's not b

c-a = -(a-c) = -(-3i-2j-2k) = 3i+2j-2k, HEY! THAT'S the same as b,

So that proves they form a triangle. 

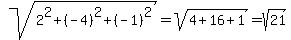
||a|| = ||2i-4j-k|| = sqrt%282%5E2%2B%28-4%29%5E2%2B%28-1%29%5E2%29=sqrt%284%2B16%2B1%29=sqrt%2821%29

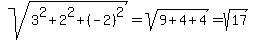
||b|| = ||3i+2j-2k|| = sqrt%283%5E2%2B2%5E2%2B%28-2%29%5E2%29=sqrt%289%2B4%2B4%29=sqrt%2817%29
 
||c|| = ||5i-2j-3k|| = sqrt%285%5E2%2B%28-2%29%5E2%2B%28-3%29%5E2%29=sqrt%2825%2B4%2B9%29=sqrt%2838%29

Those are the length of the sides:

To find if there is a right angle, get all the dot products and see if one
of them is 0:

a·c = (2i-4j-k)· (5i-2j-3k) = (2)(5)+(-4)(-2)+(-1)(-3) = 10+8+3=21, not 0

b·c = (3i+2j-2k)·(5i-2j-3k) = (3)(5)+(2)(-2)+(-2)(-3) = 15-4+6=17, not 0

a·b = (2i-4j-k)·(3i+2j-2k) = (2)(3)+(-4)(2)+(-1)(-2) = 6-8+2 = 0, THAT'S 0 

So the right angle is between vector a and b because a and b are
the only ones with dot product (scalar product) zero.

Here is a diagram of the triangle, but I can't plot it on a 3D graph
on here.  But maybe that's all you want.

 
Edwin