|
Question 1207325: Find the equation of the circle which is circumscribed about the triangle, whose vertices are B (3,0), O (15,4) AND X (17,-2)
Found 3 solutions by Shin123, Edwin McCravy, greenestamps: Answer by Shin123(626) (Show Source):
You can put this solution on YOUR website! The first step to doing this is to find the circumcenter, which is the center of the circle that is circumscribed about the triangle. One way to do this is to find the intersection of the perpendicular bisectors of the sides.*
For any two points, the perpendicular bisector of the line segment from those two points is a line that passes through the midpoint (bisector) and is perpendicular to it, and is the set of all points that are equidistant from those points.
Therefore, the intersection of the perpendicular bisectors of the sides is where the circumcenter (it can be shown that all 3 intersect at a single point, so we only need to find the intersection of 2).
For BO, the midpoint is ((3+15)/2,(0+4)/2)=(9,2), and the slope of BO is , so the slope of the perpendicular bisector must be . We find that the equation of the perpendicular bisector of BO is .
For OX, the midpoint is ((15+17)/2,(4-2)/2)=(16,1), and the slope of OX is , so the slope of the perpendicular bisector is . We find that the equation of the perpendicular bisector of OX is .
Now, we find the intersection of the two lines. We have , which rearranges to , which means that . Plugging this into one of the original equations gives us . Therefore, (10,1) is the circumcenter.
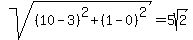
We now have to find the radius of the circle. By definition, the circumcenter should be equidistant from all the vertices of the triangle, so we just find the distance between it and one of the vertices. For example, for B, we get . We can check that the other vertices are also away from (10,1).
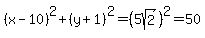
Finally, using all that we have found, the final equation of the circle is .
*You might have noticed that BOX is a right triangle, with a right angle at O. It is fairly well known that the circumcenter of a right triangle is at the midpoint of the hypotenuse, so using that is another way to find the circumcenter easier. (hypotenuse is BX, ((3+17)/2,(0-2)/2)=(10,-1)). If you don't see how this is true, try drawing different right triangles and the corresponding perpendicular bisectors.
Answer by Edwin McCravy(20077) (Show Source): Answer by greenestamps(13327) (Show Source):
You can put this solution on YOUR website!
The responses from the other tutors show a standard solution, finding the center of the circle by finding the intersection of the perpendicular bisectors of two sides of the triangle.
For this particular triangle, there is a much easier path to the answer.
Draw a sketch of the triangle roughly to scale and observe that BO and OX appear to be perpendicular. Verify that they are by finding that the slopes of those two segments are 1/3 and -3.
That makes angle O a right angle; and that makes BX the diameter of the circumscribed circle.
The center of the circle is then the midpoint of BX, which is (10,-1).
Use the Pythagorean Theorem (aka distance formula) to find that the radius is sqrt(50).
Then the equation of the circumscribed circle is
ANSWER: 
|
|
|
| |