SOLUTION: if A=(4,-5)and B=(7,-9)what is the length of AB ?

Algebra ->  Length-and-distance -> SOLUTION: if A=(4,-5)and B=(7,-9)what is the length of AB ?       Log On


   



Question 1207283: if A=(4,-5)and B=(7,-9)what is the length of AB ?

Answer by ikleyn(52834) About Me  (Show Source):
You can put this solution on YOUR website!
.
if A=(4,-5) and B=(7,-9), what is the length of AB ?
~~~~~~~~~~~~~~~~~~~~~

Apply the distance formula


    d = sqrt%28%28x%5B2%5D-x%5B1%5D%29%5E2+%2B+%28y%5B2%5D-y%5B1%5D%29%5E2%29.


where A = (x%5B1%5D,y%5B1%5D), B = (x%5B2%5D,y%5B2%5D).

In your case  A = (x%5B1%5D,y%5B1%5D) = (4,-5),  B = (x%5B2%5D,y%5B2%5D) = (7,-9).


THEREFORE,

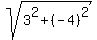
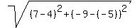
|AB| = sqrt%28%287-4%29%5E2%2B%28-9-%28-5%29%29%5E2%29 = sqrt%283%5E2%2B%28-4%29%5E2%29 = sqrt%2825%29 = 5.    ANSWER

Solved.