SOLUTION: What is the distance of the shortest path between the line y=2x + 12 and the point (5,3)?

Algebra ->  Length-and-distance -> SOLUTION: What is the distance of the shortest path between the line y=2x + 12 and the point (5,3)?       Log On


   



Question 1195476: What is the distance of the shortest path between the line y=2x + 12 and the point (5,3)?
Answer by ikleyn(52800) About Me  (Show Source):
You can put this solution on YOUR website!
.
What is the distance of the shortest path between the line y=2x + 12 and the point (5,3)?
~~~~~~~~~~~~~~~~~~~~~~~~

All you need to do is to find the distance from the point (5,3) to the given straight line  y = 2x + 12.


Write equation of the line in EQUIVALENT form  2x - y + 12 = 0.


There is a remarkable formula which ideally suits for this problem.


    Let the straight line in a coordinate plane is defined in terms of its linear equation 

         a*x + b*y + c = 0,

    where "a", "b" and "c" are real numbers, and let P = (x%5B0%5D,y%5B0%5D) be the point in the coordinate plane. 

    Then the distance from the point P to the straight line is equal to

        d = abs%28a%2Ax%5B0%5D+%2B+b%2Ay%5B0%5D+%2B+c%29%2Fsqrt%28a%5E2+%2B+b%5E2%29.


Regarding this formula, see the lesson
    The distance from a point to a straight line in a coordinate plane
in this site.


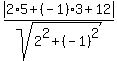
Substitute the coefficients  a= 2, b= -1, c= 12,  x%5B0%5D = 5,  y%5B0%5D= 3  into the formula to get the distance under the question


    d = abs%282%2A5+%2B+%28-1%29%2A3+%2B+12%29%2Fsqrt%282%5E2%2B%28-1%29%5E2%29 = 19%2Fsqrt%285%29.


Answer.  The distance from the point to the line is  19%2Fsqrt%285%29 = %2819%2Asqrt%285%29%29%2F5 = 8.497  (rounded).

Solved.