SOLUTION: Seven pencils are held together in hexagon shape by an elastic band. If the pencils are of diameter 7mm, what is the length of the band in this shape

Algebra ->  Length-and-distance -> SOLUTION: Seven pencils are held together in hexagon shape by an elastic band. If the pencils are of diameter 7mm, what is the length of the band in this shape      Log On


   



Question 1142265: Seven pencils are held together in hexagon shape by an elastic band. If the pencils are of diameter 7mm, what is the length of the band in this shape
Found 3 solutions by ikleyn, Alan3354, Edwin McCravy:
Answer by ikleyn(53906) About Me  (Show Source):
You can put this solution on YOUR website!
.

            In my solution, I assume that all pencils have hexagonal section.


As soon as you make a sketch to the problem, the solution will come into your mind instantly.


The band has the form of a polygon with 12 sides.


Six of these 12 sides have the length equal to the length of the side of a section of the pencil, which is half of its diameter,

i.e. 3.5 mm.


Six other sides have the length  3.5%2Asqrt%283%29 mm.


Thus the length of the elastic band is equal to the perimeter of this 12-gon


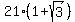
    P = 6%2A3.5+%2B+6%2A3.5%2Asqrt%283%29 = %286%2A3.5%29%2A%281+%2B+sqrt%283%29%29 = 21%2A%281+%2B+sqrt%283%29%29 = 57.37 mm (approximatyely, correct with two decimal places).

-----------------

For other configurations with cylindrical pencils,  I solved similar problems  LONG  TIME  AGO  at this forum.
If you are interested,  look into the links

https://www.algebra.com/algebra/homework/Rectangles/Rectangles.faq.question.1089992.html

https://www.algebra.com/algebra/homework/Polygons/Polygons.faq.question.1116600.html

in the archive to this forum.


By the way, the tutor Alan fairly noted to you, that your formulation in this post is not perfect.

I totally agree with him.

Therefore, there is a great sense to you to look on how similar problems were formulated under these links
to improve your formulation.


Answer by Alan3354(69443) About Me  (Show Source):
You can put this solution on YOUR website!
Are the pencils round?
Or hexagonal?
------------
"held together in hexagon shape..." is not clearly defined.

Answer by Edwin McCravy(20086) About Me  (Show Source):
You can put this solution on YOUR website!
I think somebody is forgetting that the elastic band 
has straight parts and round parts.

OK, maybe they took the pencils to be hexagonal in cross-section
and not circular.  I have both kind in my pencil collection.

Anyway I took the pencils to be circular in cross-section.

The elastic band is in green:



There are 6 straight parts and 6 round parts to the elastic band.

Each straight part is the length of two radii, as we see by this
red rectangle. which is 1 diameter or 7mm.  So the 6 straight
parts amount to 6×7mm or 42mm.



And as you can see by the 60° red sector,



Each round part of the elastic band is 1/6 of a circumference
of one of the circles.  And there are 6 of them, so all 6
total to one circumference of each circle, which is pi%2A7mm

So the answer is 6 straight parts which is 42mm plus 6 round
parts which is 7pi mm.

Answer 42%2B7pi mm.

Edwin