SOLUTION: Find the distance between (0,-5) and (18,-10)
Algebra
->
Length-and-distance
-> SOLUTION: Find the distance between (0,-5) and (18,-10)
Log On
Geometry: Length, distance, coordinates, metric length
Geometry
Solvers
Solvers
Lessons
Lessons
Answers archive
Answers
Click here to see ALL problems on Length-and-distance
Question 1091735
:
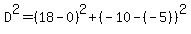
Find the distance between (0,-5) and (18,-10)
Answer by
Fombitz(32388)
(
Show Source
):
You can
put this solution on YOUR website!
Use the distance formula,
Work that out for the answer.