SOLUTION: Hello amazing tutors, can you help me solve this question? Thank youu The equation of a curve is {{{ y = sqrt(5x + 4) }}} (i) Calculate the gradient of the curve at the point

Algebra ->  Length-and-distance -> SOLUTION: Hello amazing tutors, can you help me solve this question? Thank youu The equation of a curve is {{{ y = sqrt(5x + 4) }}} (i) Calculate the gradient of the curve at the point      Log On


   



Question 1040748: Hello amazing tutors, can you help me solve this question? Thank youu
The equation of a curve is +y+=+sqrt%285x+%2B+4%29+
(i) Calculate the gradient of the curve at the point where x = 1
(ii) A point with coordinates (x, y) moves along the curve in such a way that the rate of increase of x has the constant value 0.03 units per second. Find the rate of increase of y at the instant when x = 1
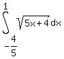
(iii) Find the area enclosed by the curve, the x-axis, the y-axis and the line x = 1

Answer by robertb(5830) About Me  (Show Source):
You can put this solution on YOUR website!
(i) y+=+sqrt%285x%2B4%29 ==> dy%2Fdx+=+5%2F%282sqrt%285x%2B4%29%29 ==> dy%281%29%2Fdx+=+5%2F%282sqrt%285%2A1%2B4%29%29+=+5%2F%282%2A3%29+=+5%2F6

(ii)y+=+sqrt%285x%2B4%29 ==> dy%2Fdt+=+%285%2A%28dx%2Fdt%29%29%2F%282sqrt%285x%2B4%29%29 ==> dy%28x=1%29%2Fdt+=+%285%2A0.03%29%2F%282sqrt%285%2A1%2B4%29%29+=+0.075%2F3+=+0.025 unit per second.

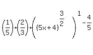
(iii) Area = int%28sqrt%285x%2B4%29%2C+dx%2C+-4%2F5%2C1%29
= %281%2F5%29int%28sqrt%285x%2B4%29%2C+d%285x%2B4%29%2C+-4%2F5%2C1%29
= %281%2F5%29%282%2F3%29%28%285x%2B4%29%5E%283%2F2%29%29%5E1%5B-4%2F5%5D
= %282%2F15%29%289%5E%283%2F2%29+-+0%5E%283%2F2%29%29+=+%282%2F15%29%2A27+=+18%2F5