|
Question 1019640: If a straight line passes through the point (2,4), find the locus of the middle point of the segment of the line intercepted between the axes
Answer by robertb(5830) (Show Source):
You can put this solution on YOUR website! We use the following form of the straight line: , where a is the value of the x-intercept and b is the value of the y-intercept.
The equation of the straight line passing through the point (2,4) is given by as per the previous statement.
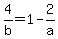
Solving for b in terms of a,
,
==> 
==> 
==> . (Equation A)
This gives the relationship between the x- and y-intercepts of the line.
Now the midpoint of the x-intercept (a,0) and the y-intercept (0,b) is the point (a/2, b/2).
Substituting Equation A into the y-coordinate of the point (a/2, b/2), we get
( , )
Now let x = a/2 and y = 
==> a = 2x
==> y = 
==> y = 
This is the equation of the locus satisfying the given conditions.
This is a hyperbola with horizontal asymptote of y = 2, and vertical asymptote of x = 1.
|
|
|
| |