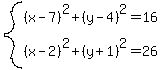
You can put this solution on YOUR website! This is the intersection of two circles. There will be two points. One circle i centered (7,4) with radius 4 and the other circle is centered (2,-1) with radius .
.
(NOTE: This is not the only way)...If you "simplify" each equation, and subtract the equation of the smaller circle from equation of the larger circle, and simplify this, you find an equation result, . You can use this to substitute either for x or for y in either of the original circle equations to solve for the other variable.
(I have only worked separately on paper up to that simple linear x+y=7 and went no further on this. The plan should make sense).